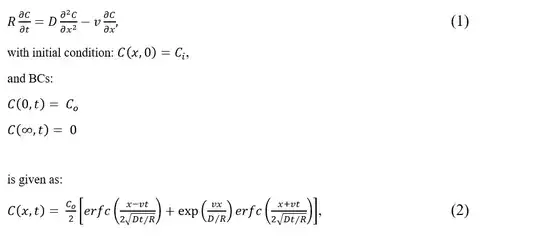
The Ogata and Banks analytical solution of the convection-diffusion equation for a continuous source of infinite duration and a 1D domain:
where C [mol/L] is the concentration, x [m] is the distance, R is the retardation factor, D [m2/day] is the effective dispersion/diffusion, v [m/day] is the flow velocity, Ci [mol/L] is the initial concentration in the column, and Co [mol/L] is the influent (or injected) concentration.
The time-evolution plot below shows two cases of specie production and degradation obtained from the numerical solution of equation (1) with the following parameters:
Production (red line): Ci = 0 mol/L, Co = 1.2 mol/L, R = 1, D = 0.00048 m2/day, v = 0.24 m/day.
Degradation (green line): Ci = 1 mol/L, Co = 0 mol/L, R = 1, D = 0.00048 m2/day, v = 0.24 m/day.
The analytical equation above matches (this is not shown in the plot) the production but not the degradation, whose curve is clearly an inversion of the production curve. So, I have been looking for the equivalent analytical expression that describes the degradation process (meaning that Ci would be contained therein). I am thus hoping that there is someone who may know this equation or could point me in the right direction. Thank you in advance.

