I am trying to ascertain what the 'ideal' FIR filter length should be, given the pulse length $T_p$ of a windowed sinusoid in noise that I seek to filter.
As parameters into an FIR filter that I design, I have:
$F_c = 15 \text{ kHz}$, The center frequency. (This is the carrier frequency of the signal). I know this.
Since this is a BPF FIR, I specify the pass band as $F_{c} - \frac{1}{T_p}$ to $F_{c} + \frac{1}{T_p}$. This is because the bandwidth of the windowed sinusoid is $\frac{2}{T_p}$
The last parameter that I do not know how exactly to specity, is the length of this FIR... this is where I am lost. What is the ideal length here, (if any?)... Should it just be the length of the pulse (in samples of course), thereby making it something akin to a matched filter? Does this mean I have no further gains in increasing filter length?
As further context, I am seeking this 'ideal' length, should it exist, because I am trying to filter out as much noise as possible, but also try my best to retain the sharp transients. This is what led me to ask, is there an ideal filter length to start from. For example, in the following plot below, I have filtered a noisy version of my signal, with filters of length 11 (red) and 171 (black) respectively. They are shown below:

As you can see, while the black result is 'smoother', you can see that it is also more 'smudged' in as far as its transients go. In contrast, the red still retains some noise, but transients are not as affected.
The plot below shows the spectrums of the above filters:

TLDR: So, is there an 'ideal' length for FIR filters, in so far as that further increasing the filter length does not buy you any more noise immunity, but might actually smear your transients even more than needed?
EDIT:
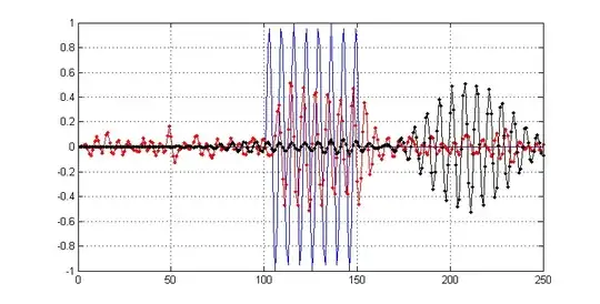
I have added two new images. The first one has filter of length 11, (red), filter of length 171, (black), and filter of length 901, (blue). The thick-blue is the spectrum of the data.

Here is the corresponding results for the filter of length 11, (red), and the new filter of length 901, (black).
