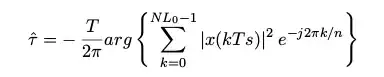
I`ve came across a Paper for this Algorihm for estimating the Symbol-Timing from Meyr and Oerder, which I want to understand. The Algorithm uses blocks from the samples and calculates the Timing Estimation for the difference between the Transmitter-Clock and the Receivers clock. By squaring the blocks we are getting a peak in the spectrum which is our symbol timing.
My questions are:
- Why are we getting the symbol timing by squaring the signal block?
- What does the Fourier-transformation do to the squared signal-block?
